铌是最轻的难熔金属,具有高熔点、比强度高、低蒸汽压、冷加工性能好、化学稳定性高、抗酸碱腐蚀能力强等一系列优异特性,广泛应用于机械制造、航空航天、核工业和医疗等领域,如航空航天发动机、核反应堆结构材料等。近年来,随着我国航空航天技术的发展,对耐高温材料提出了更高的要求,高推重比发动机和超高音速飞行器的许多高温结构件均需要能在1300℃以上保持较高的强度,而铌合金以其低密度、高熔点和优良的高温性能等特点,广泛地用于制造火箭、飞船和高超音速飞机等的关键高温结构部件。但更严苛的使用条件和更复杂的结构,导致常规铌合金材料及其成型方式面临巨大的挑战,而增材制造成型技术成为制造耐超高温复杂形状铌合金构件的优选方案,增材制造用合金粉末制备技术是其中的关键技术[1]。目前,增材制造用难熔合金球形粉末相关生产设备和核心技术主要控制在德、美、日本等国,而难熔金属球形粉末由于制备难度大、性能要求高,研究的相关单位不多,是我国难熔金属增材制造中的短板,特别是高品质激光增材用金属球形粉末的研制,与发达国家存在一定差距,难以满足我国航空航天、核电等高端制造业的迫切需求。因此,亟需在增材制造用高品质难熔金属球形粉末方面开展包括基础前沿、关键技术到产业化等方面的创新研究,以支持我国航空、航天、核电等领域智能制造技术的发展。
常用的球形难熔金属粉末制备技术有等离子旋转电极法和射频感应等离子球化法等。旋转电极球化法一般用于制备钛合金、镁合金、高温合金等粉末[2-3],而射频感应等离子球化法等离子炬温度高,能处理难熔金属粉末,是获得致密度高、球形度好、纯净度高的球形铌合金粉末的有效手段,较其他工艺具有较大的优势。在射频感应等离子球化工艺中等离子体功率、进料速率、气体流量等参数是提高粉末球化率的关键因素。周小彬等[4]和古忠涛等[5]分别研究了通过等离子球化制备钼粉和钨粉的工艺,结果表明:合理的功率控制是提高粉末球化率的重点,同时降低进料速率和载气流量有利于提高粉末球形率,此外,也有一些关于铌合金感应等离子球化工艺的研究[6-7]。目前,感应等离子球化工艺制备球形难熔金属及合金工艺虽然有些成功案例[8-12],但单纯依靠实验来摸索经验参数不仅耗时、耗力,而且成本很高,利用理论计算或模拟仿真已经成为研究极端条件下材料微观结构演化的重要手段,这些相关研究[13-21]极大便利了球化设备的制造和球化工艺优化过程。
国内外学者目前已利用感应等离子体技术成功制备了球形W、Mo、Ta、Nb等难熔金属粉末,在感应等离子球化过程中,由于感应等离子炬内温度非常高,球化过程中合金元素的气化损耗不能无视。粉末颗粒在高温等离子体作用下熔化成液滴,在下落过程中液滴与其内部的气泡会有速度差,为内部气泡的排出提供了有利的动力学条件。但目前关于感应等离子球化工艺的相关研究主要关注工艺参数对球化效果的影响,很少涉及球化过程中合金元素的气化损耗和O、N等杂质元素的脱除,因此提出本研究,为降低铌合金球化过程中合金元素气化损耗和促进O、N等杂质元素脱除提供理论和实验基础。
1实验
在Nb合金等离子球化加工前后,粉末的总量以及一些元素的含量均会发生变化,造成元素含量变化的原因主要包括金属液滴表面元素的挥发和部分气相元素形成气泡后的脱除,因此本研究对Nb合金等离子球化过程中Nb元素损耗和O、N气泡脱除的基本规律进行了研究,主要包括温度、颗粒尺寸对Nb元素损耗和气泡脱除的影响,并在此基础上结合球化生产过程进行了实验研究。
1.1 理论计算方法
通过理论计算研究了温度和粉末粒度对合金元素气化损耗和气泡脱除的影响,颗粒下落过程中速度、温度、受力、热通量、物相状态等参数随下落高度变化,需通过数值计算方法求解相应的微分方程,本研究中微分方程主要应用RK4算法进行求解,以下是相关理论研究方法的介绍。
1)合金元素的气化损耗
等离子球化过程中,等离子体炬区域温度很高,体炬和其外延的高温区平均温度在3000℃以上,在该区域中金属颗粒融化成液滴,尽管金属液滴在该区域停留时间短,但在如此高温下金属液滴的气化损耗不可避免。高温区长度根据Tekna公司生产制造的型号为TekSphero-80kW的感应等离子球化设备来确定,高温区长度为0.25m,计算过程中选取温度为高温区的平均温度。元素的气化损耗主要发生在颗粒熔化转变为液态的阶段,主要包括颗粒熔化后和凝固前这段时间。金属颗粒在飞行过程中主要通过对流换热和环境辐射获得热量,单位时间内交换的热量Φ(单位W)可表示为[22-23]:

式中,T∞是环境温度,K;TP是气体颗粒温度,K;AP是颗粒的表面积,m2;hc是颗粒表面传热系数,W/(K·m2),传热系数主要受温度、材料成分、颗粒与气流相对运动速度等因素影响,计算过程中所用的不同温度下颗粒对流传热系数如表1所示;ε是发射率;σsb是Stefan-Boltzmann常数,5.67×10-8W/(m2·K4)。颗粒球化的气氛为氩气,对于氩气等单原子分子或者氢气等对称的双原子分子,气体对热量的吸收和辐射能力较弱,对流换热是气体与颗粒之间的主要换热方式,在计算过程中可忽略辐射换热项。

在颗粒升温和降温过程中,颗粒与环境的热量交换与颗粒温度的变化符合以下微分方程[22-23]:

式中,ρP是颗粒密度,kg/m3;dP是颗粒直径,m;CP,P是颗粒比热容,J/(kg·K)。在熔化过程中颗粒温度保持不变,总吸热量可表示为:

式中,AHUS为金属的熔化焓,J/kg,研究过程中取Nb的熔点(2470℃)作为颗粒熔点。结合式(1)~式(3),通过数值计算可计算出颗粒熔化后和凝固前这个阶段的持续时间,该过程主要受颗粒材料、颗粒尺寸、环境温度等因素影响。获得液滴持续存在的时间后,液滴表面各种元素的损耗速率可表示为:

式中,mi为元素i的质量,kg;λi为单位时间单位面积元素i的气化速率系数,kg/(m2·s),气化速率系数主要受温度、材料成分等因素影响,计算过程中所用的不同温度下Nb的表面气化速率λNb如表2所示;ai为液滴表面元素i的活度,在Nb合金中Nb元素为基体材料,因此计算过程中其活度值取1。环境温度和液滴表面的温差对λi有明显影响,因此对元素损耗速率也有明显影响。通过求解以上微分方程可计算出液滴表面元素气化损耗的质量,进而获得气化损耗率。

2)气泡的脱除
通常铌合金粉是由铌合金锭氢化破碎为粉末,因此感应等离子球化使用原料粉为不规则形状,通常粉末冶金工艺获得的坯料相对密度为95%左右,这表明材料存在微观层面的较弥散的孔隙,这些孔隙中的气相元素可能在粉末熔化成小液滴时凝聚成气泡,同时在熔化和球化过程中部分表面附着气体会因液滴的变形被卷入液滴内部,颗粒中的氧、氮等气相元素可能在高温液滴中析出并聚集为气泡,这些现象均是液滴中气泡的来源。颗粒在下落过程中迅速熔化为液滴,在完全熔化之前,气泡无法排出,完全熔化后液滴会与气泡产生速度差,在相对运动作用下气泡从液滴内部排出,该过程受力分析如图1所示。

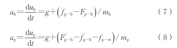
为简化模型,假设气泡位于颗粒中心,液滴状态持续时间用上一小节介绍方法计算。由于气泡的受力情况较为复杂,在该运动系统中,气泡受到重力(mbg)、浮力(i-,)、黏滞阻力(f'ₚ-b),其加速度(ab)根据牛顿运动定律表示如下:

式中各种力的单位均为N。液滴受到重力(mpg)、空气阻力(fp-∞)、气泡浮力的反作用力(F'ₚ-b)、气泡黏滞阻力的反作用力(f'ₚ-b),其加速度(ap)根据牛顿运动定律表示如下:

作用力和反作用力在数值上相等,结合式(5)和式(6)可获得液滴和气泡的加速度表达式:

式中,ab为气泡加速度,m/s2;ab为气泡加速度,m/s2,可进一步推导出数求解颗粒速度和气泡速度的差分公式:

式中,ub,0、ub,1分别为每一次迭代前后气泡的速度,m/s;up,0、up,1分别为每一次迭代前后气泡的速度,m/s。通过以上两式可计算出液滴和气泡在下落过程中相对位置的变化,进而获得气泡从液滴排出需要的时间。在非惯性参考系中,能简化该计算过程。实际情况中,由于液滴非常小,受到的空气阻力不能忽略,处于部分失重状态。在非惯性系中,气泡的失重加速度可表示为,带入各个力可表示为:

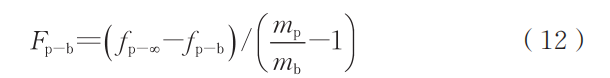
考虑到作用力和反作用力大小相等,方向相反,气泡所受浮力表达式可表示为:

在非惯性系中,可认为是液滴不动,气泡在以上浮力作用下从液滴内部溢出。计算过程中液滴所受空气阻力和气泡所受黏滞阻力可依据牛顿黏性定律计算得出。这两个力主要受气流速度、气体黏度、液滴直径、液滴密度、液滴黏度、气泡直径、气泡密度等因素影响。
1.2 实验研究方法
通过实验研究了不同工艺对球化过程合金元素损耗率和气相脱除率的影响。实验在高频感应等离子球化设备上进行,由Tekna公司生产制造,型号为TekSphero-80kW。感应等离子体发生器无电极,不会污染粉末,特别适用于制备高纯度粉末或材料,另外,对原料的熔化温度几乎没有限制。实验用粉末选择Nb521合金粉(成分为W:4.5%~5.5%、Mo:1.5%~2.5%、Zr:0.7%~1.5%,其余为Nb),通常增材制造用Nb合金球形粉粒度为15~53μm,本文选用的粉末粒度为30~50μm,SEM图像如图2所示。合金元素在高温区气化后会在低温区凝结成粒度更小的粉末,通常这些重新凝结的粉末粒度非常细,粒径小于5μm,部分附着在球化室内壁上,部分随气流运动并在过滤装置处与气体分离,也有部分附着在球化后颗粒的表面。粉末球化后通过超声清洗和筛分,去除颗粒表面附着的细粉,然后称量获得球化后粉末的质量m1,在球化之前也通过称量获得球化前粉末质量m0,合金的损耗率为1-m1/m0。气相元素脱除率计算方法为,在加工前后分别检测O、N等元素的含量,根据球化前后这些元素的含量变化计算脱除率。

2 结果与讨论
2.1 合金元素的气化损耗
通过理论计算对球化过程中Nb元素(考虑到铌合金以Nb元素为主)损耗率进行了计算,主要研究了等离子体炬平均温度和颗粒直径对Nb元素损耗的影响。计算中用到的气体流量、温区长度和平均温度是以Tekna公司生产制造的型号为TekSphero-80kW的感应等离子球化设备为基础,结合HOSSAIN、TONG、NAM等人的多篇关于感应等离子球化过程数值模拟的参考文献确[13-17]。球化腔室中气体平均流速为1.8m/s,TekSphero-80kW等离子球化设备中感应线圈区域长度约0.1m,文献中模拟结果显示:当线圈区域长度0.1m时,等离子射流外延高温区域长度约0.15m,因此高温区长度设定为0.25m。等离子炬形成的高温区平均温度很难通过实验进行测量,因此只能相关文献中关于球化过程的数值模拟结果来估计,模拟结果显示当感应等离子炬耦合功率为15~20kW时,高温区平均温度约4000~5000℃,而TekSphero-80kW感应等离子球化设备总功率为60~80kW时(这是球化生产常用功率范围),感应等离子炬耦合功率约为12~15kW,因此估计高温区平均温度为3000~4000℃。固相转变为气相的速率远小于液相转变为气相的速率,因此从颗粒开始熔化到再次凝固的阶段为元素气化的主要阶段。图3为等离子炬平均温度对Nb元素损耗率的影响。图3中包括颗粒直径为30μm和50μm的情况,可以看出Nb元素的损耗率随温度升高明显增大,3000℃下,30μm颗粒球化过程中Nb元素损耗率为6%左右,而在4000℃下Nb元素损耗率接近10%。

图4为颗粒直径对Nb元素损耗率的影响,可以看出,粒径对Nb元素损耗率的影响更明显,小颗粒的损耗率明显高于大颗粒,因为粒径小较小时,熔化的液滴有更大的比表面积,液滴表面的元素更容易气化挥发。损耗率随颗粒直径减小大幅度提高,4000℃下、20μm粒径的粉末损耗率达到接近15%,而60μm的粉末损耗率只有5%左右。气化损耗不仅会使颗粒平均粒径减小,同时不同粒径气化损耗率不同会导致粉末粒度分布范围变大,因此在原料粉制备时可稍微增加粉末粒度,同时要控制粉末粒度分布在更小的范围内,确保球化后粉末满足3D打印用粉末对粒度的要求。

图5为Nb521合金球化过程中球化加工功率对粉末损耗的影响,该原料粉末粒径分布范围为30~50μm。粉末损耗率随功率增加而增加,60kW时粉末的损耗率只有3.5%,而80kW时损耗率为6.3%,球化功率增加时会使等离子炬内温度上升,加速液滴表面元素的气化挥发,理论计算结果也表明高温区温度增加时,元素损耗率有明显的提升。表3为粉末损耗率理论研究和实验结果对比,实验中球化功率为60~80kW,对应的高温区平均温度约为3000~4000℃,理论计算结果取粒径为50μm的结果(结果来自于图3),对比可看出损耗率在两种结果中的变化趋势保持一致,实验获得的损耗率稍高于理论计算值,可能是因为实验中粉末的粒度范围为30~50μm,平均粒径小于50μm,而通过之前的研究可知颗粒粒径减小时损耗率会提升,因此实验中损耗率较高,同时对比图3中的结果可知,实验中损耗率低于30μm时的计算结果。在实验和生产过程中,气化损耗的粉末在温度降低后重新凝结为固体粉末,由于这些粉末直径很小(小于5μm),因此随气流进入排气管道,这些细粉在随气流运动过程中,部分附着在球化腔内壁和管路内壁上,部分在气体过滤装置处与载气分离,也有部分附着在球化后粉末的表面。这些粉末因为粒度太小,不适合用于增材制造,可用于需要纳米级粉末的应用场景,或者回收后重新冶炼和制粉。因此,生产过程中在保证粉末球化率的前提下,加工功率不宜过大,需选用合适的球化功率,保证粉末球化率和收得率均在较高的水平。


2.2 气泡的脱除
气泡的脱除主要在颗粒熔化为液滴后发生,部分气泡为粉末内原有的气泡,部分为高温作用下O和N等元素与合金元素分离,析出并聚集而形成的气泡,气泡于液滴分离是气相元素脱除的关键环节,通过第1部分介绍的方法对粉末球化过程中气泡脱除的时间进行了计算,主要研究了等离子体炬平均温度和颗粒直径对气泡脱除的影响。平均温度变化范围为3000~4000℃,因为O和N气泡密度接近且与Nb密度相差很大,因此两种气体的气泡脱除规律基本一致,此处以氧气气泡为例进行计算,脱除时间从气泡与液滴有相对运动开始,到脱离液滴表面结束。假设气泡处于液滴中央,气泡脱除时间为所有气泡离开液滴的平均时间。
图6为等离子体炬平均温度对气泡脱除时间的影响,可以看出,气泡与液滴分离耗时非常小,耗费时间的数量级小于10-5s,在温度升高时,气泡脱除时间略微下降,主要原因是由于温度升高时金属液滴粘度下降,气泡更容易脱除。球化过程中颗粒以液态存在的时间数量级为10-1s,有充足的时间保证气泡从液滴里逸出。因此球化过程中保证尽可能多的颗粒熔化是提高气泡脱除的有效方式,提高球化温度、降低气流速度等均可以提高颗粒熔化的概率。

图7为颗粒直径对气泡脱除时间的影响,包括温度为3500和4000℃下的情况。可见颗粒直径增加时气泡脱除时间明显增加,两者基本呈线性关系。颗粒直径增加时,气泡与液滴表面平均距离增加,气泡需要运动更长的距离才能到达液滴表面,从液滴中逸出耗时也相应的增加。虽然粒径减小有利于气泡的脱除,但由上一节研究可知粒径减小时合金损耗率提升,且气泡脱除过程耗时非常短,大颗粒在熔化后脱气时间也很充足,因此没有必要为了提高气泡脱除率选用粒径更小的粉末。

气泡与液滴分离过程是O、N等气相元素脱除的关键环节,该分离过程与脱氧有强相关性,通常,颗粒以液滴形式存在的时间越长,气泡与液滴分离耗时越短,则越有利于脱氧。然后,通过实验研究了球化生产过程中O的变化情况。图8为Nb521合金球化过程中O脱除率的情况,可见球化过程有明显的脱氧作用,球化功率为60kW和70kW时,O从初始的0.038%降低为0.008%(可能两种条件下氧含量有细微的区别,但检测结果精度只能达到0.001%),脱氧率约79%,80kW时O从初始的0.038%降低为0.007%,脱氧率稍微提升,达到81.58%,增加球化功率可略微增加O脱除率。由前面理论计算结果可知,气泡与液滴分离耗时相对较短,只要颗粒可以熔化,就有较充足的时间完成气泡的脱除,因此,保证颗粒熔化是提高脱O率的关键。图9为加工功率为60kW和80kW获得球形粉的SEM图像,可见80kW下的不规则粉末更少,球化率稍高于60kW下的球化率,说明球化功率提升时有更多的粉末颗粒熔化为小液滴完成了球化,因此,80kW下O的脱除率也稍高于60kW。此外,气泡与液滴分离过程是O、N等气相元素脱除的关键环节,该分离过程与脱氧有强相关性,通常,颗粒以液滴形式存在的时间越长,气泡与液滴分离耗时越短,则越有利于脱氧。然后,通过实验研究了球化生产过程中O的变化情况。图8为Nb521合金球化过程中O脱除率的情况,可见球化过程有明显的脱氧作用,球化功率为60kW和70kW时,O从初始的0.038%降低为0.008%(可能两种条件下氧含量有细微的区别,但检测结果精度只能达到0.001%),脱氧率约79%,80kW时O从初始的0.038%降低为0.007%,脱氧率稍微提升,达到81.58%,增加球化功率可略微增加O脱除率。由前面理论计算结果可知,气泡与液滴分离耗时相对较短,只要颗粒可以熔化,就有较充足的时间完成气泡的脱除,因此,保证颗粒熔化是提高脱O率的关键。图9为加工功率为60kW和80kW获得球形粉的SEM图像,可见80kW下的不规则粉末更少,球化率稍高于60kW下的球化率,说明球化功率提升时有更多的粉末颗粒熔化为小液滴完成了球化,因此,80kW下O的脱除率也稍高于60kW。此外,剩余部分的氧无法通过提高功率进一步脱除,一个原因是球化过程中少部分大颗粒难熔化,限制了O的脱除,另一个原因是O原本以氧化物的形式存在于合金中,而颗粒熔化为液滴的时间很短,在该时间段内,部分氧化物无法完成分解,这部分O无法析出并团聚形成气泡,无法以气泡的形式与液滴分离,最后残留在粉末中。


本文也检测了Nb521粉末球化前后N的含量,但检测结果表明在球化前后N含量均小于0.001%,该含量已处于很低的水平,属于可以认定为没有N存在的范围,因此没有研究其脱除率的意义。
3 结论
对Nb合金等离子球化过程中Nb损耗和气泡脱除的基本规律进行了研究,理论研究了温度、颗粒尺寸对Nb损耗和气泡脱除的影响,然后,以Nb521为原料,通过实验研究了球化功率对合金损耗率和O脱除率的影响。
1)球化过程中合金元素损耗率的理论研究表明:Nb的损耗率随温度升高明显增大,4000℃下,30μm颗粒Nb球化过程中损耗率接近10%。粒径对Nb损耗率的影响更明显,Nb损耗率随颗粒直径减小大幅度提高,4000℃下20μm粒径的粉末损耗率达到接近15%。球化实验也显示相同的规律,球化功率提升时,粉末损耗率明显增加,80kW时损耗率达到6.3%。因此,生产过程中不能为了提高球化率选择过大的球化功率,需要根据实际情况寻求球化率和收得率的平衡。
2)气泡脱除研究表明:气泡与液滴分离耗时非常小,耗费时间的数量级小于10-5s,而球化过程中颗粒以液态存在的时间数量级为10-1s,有充足的时间保证气泡从液滴里逸出,粉末颗粒熔化是保证气泡脱除的必要条件,对于大颗粒粉末通过提高温度、降低载气流量等方法提高熔化概率,是促进气泡脱除的有利措施。Nb521粉末球化实验结果表明:球化功率提高时,脱氧率略微增加,球化过程中O含量降低明显,脱氧率接近80%。
参考文献:doi:10. 20242/j. issn. 2097-5384. 2025. 07. 001 中图分类号: TU512;TF12 文献标志码: A 文章编号: 2097-5384(2025)07-1087-09 增材制造用铌合金粉球化中合金损耗和杂质脱除
任冰朗1,2,刘 奇1,2,薄新维1,2,王小宇1,2,姚志远1,2,韩校宇1,2,何浩然1,2
星尘科技的球形铌合金粉采用射频等离子体球化技术制成,纯度超99.95%,氧含量低于500ppm,球形度高、表面光滑,极少空心粉与卫星球,流动性优异且粒度可控。产品兼具高熔点、良好塑性与高温比强度,松装及振实密度高。适配SLM选区激光熔化、注射成型等工艺,可用于航空航天热防护与结构件制造,也能通过3D打印制备高致密度骨科医疗零件等。更多详情,欢迎联系我们的专业人员,郑经理13318326187.
